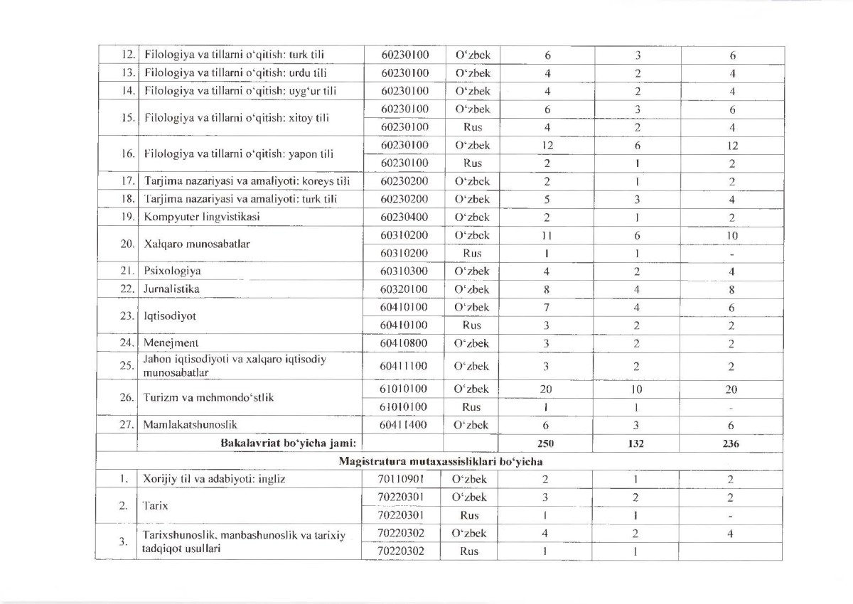
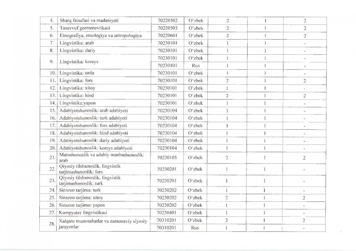
Toshkent davlat sharqshunoslik universiteti davlat granti asosidagi kunduzgi ta’lim shakli ta’lim yo‘nalishlari va mutaxassisliklari bo‘yicha qayta taqsimlash parametrlari
2025/2026 – o‘quv yilida Toshkent davlat sharqshunoslik universiteti davlat granti asosidagi kunduzgi ta’lim shakli ta’lim yo‘nalishlari va mutaxassisliklari bo‘yicha qayta taqsimlash parametrlari
TDSHU taqsimlash parametrlari



